ATMS 411 Homework (return to main page)
(HW1, HW2, HW3, HW4, HW5,HW6, HW7, HW8, HW9)
Homework style example.
Homework style example with a graph.
CALENDAR for homework due dates.
Homework 9 theory. General FTIR spectrometry and measurements of the downwelling IR radiation, spectrally resolved.
The approach below is much simpler than the treatment based on relatively first principles radiative transfer.
IR calculator for the atmosphere.Spreadsheet for problem session: the starting point. (See also Mark Hausner's Matlab solution for comparison, and his discussion.).
Review: how to calculate e for the parameterization below.Archive of problem session on Friday November 19 (audio died :( ). The spreadsheet we worked on. Some results.
Plot a time series of the downwelling infrared irradiance, solar radiation, and air temperature for the month of September 2010 for the UNR site.
A.
Comment on the timing of the peaks of these three parameters.
B. Next construct a graph of the effective emissivity on the y axis against the water vapor pressure, e, in mb, on the x axis. We have calculated e in previous homework assignments. On clear days, people tend to think that the effective emissivity is linearly related to the water vapor pressure as follows. Check out this hypothesis. See HW6.1 presentation for water vapor pressure definition, and HW7.1 presentation that gives the calculational tools for it.

See Eq. 6 of this paper for an example relationship to try. Downwelling infrared irradiance is part of the surface energy budget that determines surface heat and moisture exchanges. The parameterization is typical as we seek simplifications of equations for radiation transfer for improving speed of calculations. You will have to filter out the cloudy days and times to check this parameterization against clear sky radiative transfer measurements.
SOLUTION:
Here is a quick look at the variation of surface downwelling IR with temperature. Data with clouds is highlighted in yellow, and clear sky data with red. Yellow bubble area corresponds to cloudiness, and red bubble area to mixing ratio. The largest IR (vertical axis) occurs at the time of the greatest cloudiness for a given surface temperature (horizontal axis). The mixing ratio is greatest at lowest temperature (red bubble areas are largest then). The red and blue bubbles are mostly transparent so that darkness signifies a higher density of points. Note that cloudiness is low at air temperatures between 20 and 23 degrees C, and that the most anomalously low IR occurs in this temperature interval as well.

Homework 8. READ problem 4.11 first, page 145. Read chapter 4. Do problem 4.11. It has many parts, so start early. Problem session set for Friday the 12th to discuss this problem. Problem Session Presentation. Archive of problem session recorded live.
Homework 8 solution from JD McAlpine.
Homework Extra Credit
Consider a dry, sunny summer morning in Reno. Just before sunrise
the atmosphere is very stable, with a strong temperature inversion.
Then sunlight appears and begins to warm the surface of albedo A due to
absorption (1-A).
a. Derive an expression for the fraction
of absorbed sunlight that goes into heating the air by conduction at
the interface, as opposed to heating the solid Earth's surface.
b. Think of the inversion on a skew T log P chart. Sketch what happens
later on where enough sunlight has been absorbed to bring the lapse
rate to the dry adiabat. Sketch this on the skew T log P chart also.
Consider the area between these curves you just sketched. Using a
calculation like done for CAPE, develop an analytical expression for
the amount of sunlight that has to be absorbed in order to 'break' the
inversion. You can integrate the relationship (mass * Cp * dT) at a
single level in the atmosphere from the inversion temperature to the
adiabatic temperature, and then integrate this relationship from the
ground to the top of the inversion. Express mass in terms of density,
and actually just use mass per unit area for your calculation, because
you will then compare that to the absorbed solar energy per unit
energy.
Homework 7. Atmospheric Boundary
layer characterization. This is an important, work intense homework
assignment, so get started early, and work with others to share the
burden, and for ideas. Archive of problem session held from 2 pm to 4 pm on Friday October 22nd. You can download this as an mp4 presentation.
Presentation that gives hints for the homework, both dew point and boundary layer.
Spreadsheet for the boundary layer characterization to be used in the homework: After being filled in.
Spreadsheet developed during the problem session for calculation of the dew point temperature.
We have seen that Reno has inversions on most days when we did the homework involving the DRI and UNR sites for the month of September. Make a time series of the following for the month of September:
0. Calculate the time series of dew point temperatures for the DRI and UNR sites for the month of September from your spread sheet you have used in previous assignments. Make a time series graph and interpret it.
1. The lapse rate at 5 a.m. only from the previous homework assignment. You can use the 'filter data' feature in Excel to extract only this data from the overall data set.
2. The height of the 5 a.m. inversion on days when it exists. That is the height where the temperature no longer increases with height after the surface inversion. The height should be expressed in meters. You can get this from the balloon soundings, and I suggest using the text version of the data to do so, in conjunction with the graphical form of the skew T plot.
3. The height of the planetary boundary layer from the 5 pm soundings in September. This is the height where an inversion, or sharp change in lapse rate, happens just beyond the level where the atmosophere is well mixed to the adiabatic lapse rate. You can get this from the balloon soundings, and I suggest using the text version of the data to do so, in conjunction with the graphical form of the skew T plot.
4. Do an overlay plot of the solar radiation and average wind speed time series from the UNR weather station.
Interpret your results. On days with maximal boundary layer depth, what is going on? And for days with minimal boundary layer depth? Days of shallow and deep morning inversions?
Data comes from the U Wyoming site.
The graphical skew T log P data is available here. It is good to look at, but you will need to use the text form of the data to get good numbers; see this link.
Homework 6. See the problem session archive as well. See spreadsheet developed during this presentation.
Problem 1. Powerpoint presentation of theory. Here is JD's solution of the problem.
Using the DRI and UNR data from the last homework assignment, calculate
the average virtual temperature for the layer between these two
stations using the hypsometric equation. Then calculate the virtual
temperature at each of these stations, take the average value, and
compare with the value you get from the hypsometric equation.
Interpret. Make a graph of the average virtual temperature versus time
for both of these methods. Also, make a scatter plot of the average
virtual temperature from both methods, and compare using a linear
regression model.
Problem 2. Here is our presentation for this problem.
From this website,
find a sounding you are excited about. Copy and paste this sounding in
to a powerpoint slide. Prepare to discuss this sounding and all of its
features in an oral presentation to the rest of the class. Make it a
unique sounding for this assignment. In other words, if you have done
an assignment like this in the past, find a new sounding for this
assignment. Enjoy. Extra credit for calculating the precipital water
content and comparing your calculation with the sounding value, and for
discussing how you did the calculation.
Homework 5 . Do problem 3.43, 3.45, 3.46, (see problem 3.48 for an example you can try too), 3.53, and 3.55. Print out and use skew T log P charts whenever you can. See also another solution for this problem set and the skew T's that go with it.
Data related problem:
The height difference of two ground based weather stations (UNR and DRI)
in Reno is 143 meters. Obtain data from these two sites (from the
historical data link: Password is wrcc14) for the month of September
2010. Here are 3 screen images to show how to get in to the archived data (s1 s2 s3).
Calculate and plot the lapse rate and the potential temperature at
these two sites as a function of time. What fraction of time is there a
temperature inversion? Are there times when the lapse rate is greater
than the adiabatic lapse rate? Interpret. Mirage problem solution.
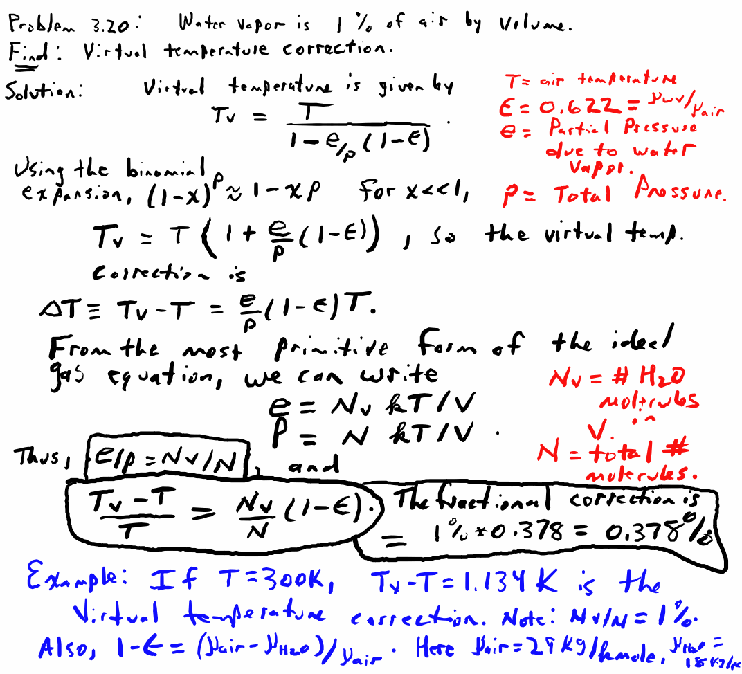
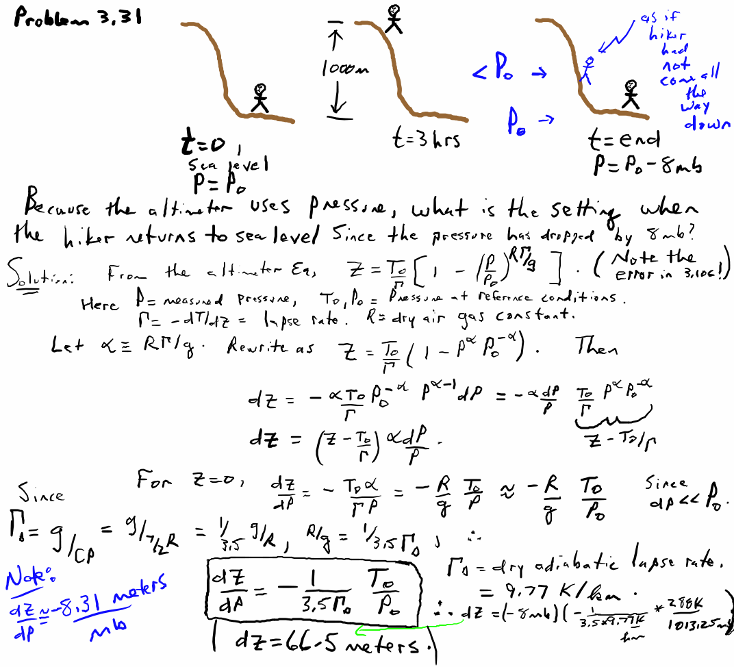
Homework 4 . Do problem 3.20. Read problem 3.21 carefully. Do problem 3.23. Read problem 3.30 carefully. Do problem 3.31. Do problem 3.35. Read problem 3.36 carefully. Do problem 3.39. See also this solution.
Homework 3 . Read chapter 3. Do problems 3.18 and 3.26. Read problem 3.18 before reading the chapter to preview the questions. Solution.
Homework 2 . Read chapter 1. Do problems 1.15, 1.19, and 1.21. Solution.
Homework 1. Read chapter 1. Do problems 1.6, 1.7, 1.11, 1.12, 1.13,
(Top of page)